
一些旧日里的话,
现在听起来仍然感动,
来日也依旧受用。
时光来信,见字如面,
愿这一份真心实意伴你勇敢前行。
近日,兴源高中与中国农业大学共同举办了“一封家书”活动,这也是继与中国农业大学经管学院学生基地共建协议签约仪式之后的又一项落地活动,大家以书信的形式,通过分享有关如何度过高中时光、怎样安排时间、怎样有效学习、好的经验教训,从而激励引导学生不忘初心,勇于追梦,脚踏实地,为理想而奋斗!
一封一封都是学长学姐的浓浓真意,一字一句都是学长学姐的肺腑之言。学长学姐们在信中亦或分享自己的成果,亦或悔叹自己曾经考试出现的失误,亦或提供实用的学习建议。这些对于正值高中时期的学弟学妹来说都是真诚的、有用的宝贵建议。




兴源学子收到学长学姐回信



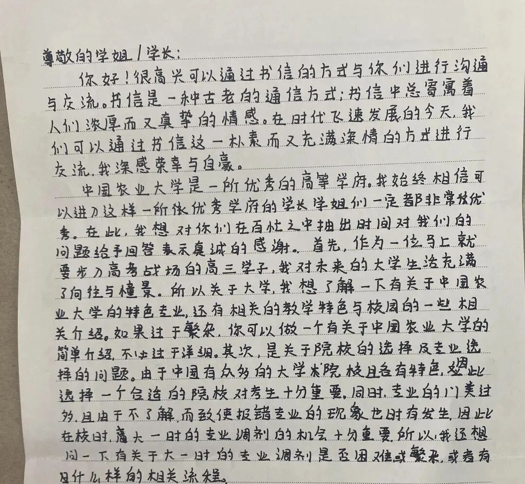
兴源学子为学长学姐写信
在书信中,兴源学子向学长学姐们讲述着自己的高中生活,积极讨论学习中遇到的困惑,对于高中的学生如何有效学习,达到理想效果等作出了解答。同学们都表示:“很开心能与中国农业大学的学长学姐们进行交流,通过这种书信交流的方式,让我们了解了大学的美好生活,对未来的职业生涯有了清晰的规划和认识,同时也让我们明白,自己的梦想只有自己才能实现;自己的人生,只有自己才能书写;自己的命运,只能掌握在自己手中!我们要向学长学姐们学习,努力奋斗,考上自己的理想大学。”





兴源学子部分信件

兴源高中和中国农业大学通过“一封家书”活动,让两地的学生相互交流,取长补短,资源共享,共同进步,加强民族团结意识,期望在以后的学习中,大家能够相互学习,相互促进,构建友谊的桥梁!

